|
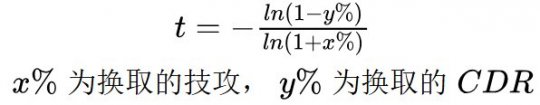
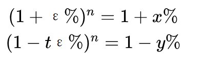
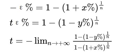
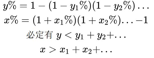
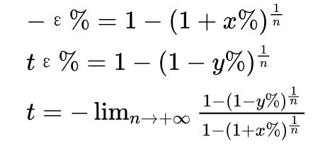
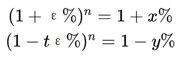
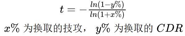
有网友询问关于混沌净化的CDR兑换比的问题,并认为大概没有这么低。首先我会回复,这种认知观点是非常正确的。混沌净化的CDR价值确实非常高。但是我也会说我关于兑换比的计算并没有错。因为混沌净化(堕落)的技攻是301.1%,如果对标的是潜影,是453%的技攻。他们的差距是5.53/4.011-1=37.87%的伤害,相应的,混沌相当于舍弃37.87%的伤害换了55%CD,兑换比是55/37.87=1.45。和常规的比如12.3对20的1.6差距很大。看似是一种比较低的兑换比。 在这个问题中,其实1.45并没有算错,看着很低也没有算错,混沌CDR实际上挺厉害这件事,其实也没有错。那么问题在哪里呢?答案其实是在我们一直认知的“CDR兑换比”这个概念。如果把我们日常理解CDR收益问题的不便,理解成一个近视患者看不清周围的物体,那么“CDR兑换比”其实就是一副眼镜。问题在于这幅眼镜它不太合适,所以让我们看到的CDR收益更为歪曲了。当然,本文也会介绍一下什么才是一副比较合适的眼镜,如此可以更好地洞悉CDR收益论的本质。 CDR兑换比的引入 为什么我们日常中经常会用到CDR和技攻兑换比呢?其实是因为,游戏中的CDR装备种类相对而言是比较多的,数值设置的又不一。对于伤害最大化的角度来说,自然是希望尽可能地少牺牲伤害,而尽可能多地获取CDR。 从这个逻辑出发,考虑它们的比值,自然也会推导出一些结论,比如比值是越大肯定是越好的。因为比值大通常说明使用了相同的技攻下,获得了相对而言更多的CDR。而公式的出发点,用弓箭手的传世武器就非常容易理解。在同样324.7技攻的底子上,你究竟是选择12.3%的技攻呢,还是选择20%的CDR呢?这个所谓的12.3%和20%CDR是策划设置的,因此也会带来一个所谓的“版本比例”的说法。一般来说比例的计算就是采用20%/12.3%=1.626得到一个结论。与之类似的也有贝亚娜戒指和创造戒指的竞争,关系是20CD和12.34%(红12)/11.23%(红11)/10.14%(红10)的技攻竞争。很明显从结果论来说,创造戒指对于红12以下的情况来说是收益相对弓箭手武器是更好的,因为损失的技攻并不足12.3%。如果同样要20CDR的条件下,作为一个增幅不足12的弓箭手职业,他会选择传世武器开12.3技攻+创造戒指,而非传世武器开20CDR+贝亚娜这个方案。 CDR兑换比的异化 上一章可以理解为CDR兑换比这个认识CDR收益的眼镜的工作原理,它是怎么计算的,又是从哪里来的。这一章要说明的事就是,这幅眼镜为什么并不是在任何时候都是非常靠谱的。在以前我发过不少CDR的帖子,CDR设置上限这篇帖子也提到了无CDR是一种多么可怕的现象,举了一个例子是99%技攻换99%CDR,根据公式而言其实就是CDR兑换比仅仅只有1,但是从宏观看,本质是让你的技能伤害减半,但是频率增加了100倍。他会导致什么结果。类似的无CDR问题,可以猜猜下面这个是个什么职业,这套配装在国服活了多久,主保的技能跟主流的大技能比,基础伤害有没有到一半。答案也就显而易见了。因此,CDR兑换比低,是不能等同于CDR收益低的。他们绝对不是充要条件。只不过是CDR收益低的情形,往往会推出一个看上去不怎么高的CDR兑换比。所以逻辑上讲,只是个充分条件而已。 那么这种异化的来源是什么呢?其实问题在于CDR的计算公式和技攻的计算公式是完全不同的。从下面的公式不难发现一点,兑换比k是y/x,而y(CDR)的计算公式中,随着第二项CDR,第三项CDR的引入,它最终的表现值y必定小于拼凑成他的各项分项之和。也就是说,拼凑的CDR越多,y的增长是越慢的。而技攻x则不同,他最终表现值x必定大于拼凑成他的各项分项之和。拼凑的CDR越多,x的增长是越快的。那么当然的结果就是,随着身上的CDR分项越来越多,这个兑换比k显然会往越来越低的方向走。 但是别忘了一个最根本的事情,就是任何一个大CDR和大技攻的兑换,本质都可以理解成一大堆小的CDR和小技攻兑换拼凑在一起的结果。可以观察以下表格,理解起来并不复杂。就是如果有一个2%技攻兑换成4%CDR的分项,他们凑成的组合,未来会变成什么样子。这里的12.62%技攻换21.72%,本质上是6个2%技攻和4%CDR分项的结果。技攻方面是1.02^6-1=12.62%,CDR方面则是1-0.96^6=21.72%。但是正常来说,这个拼了6次的2%技攻对4%CDR,他的价值其实不应该被异化的这么厉害。单纯只是对这个结果做比例来判断他们的价值,其实是不合适的。 一副更好的眼镜 对于上述的异化问题,其实我们不妨这里引入下面的公式,用t来表达,作为一个新的“兑换比”概念。相当于换了一副眼镜,让我们可以更好地看清楚CDR兑换比的问题。 这个公式其实是推导出来的,过程会放在后续,对此有兴趣的读者可以去了解一下。这里我们先观察一下这个公式对多个2%技攻兑换4%CD的结果变化。如下表所示。每一个兑换关系都是整齐的2.06。这是因为-ln(1-4%)/ln(1+2%)=-ln(1-7.84%)/ln(1+4.04%)=......=-ln(1-21.72%)/ln(1+12.62%)=2.06144 也就是说,在这个新的兑换公式算法下,其实不管同样的CDR比例叠了多少次,最后显示的结果都是一样的。至于为什么是2.06,略大于4/2也很容易理解。因为2%技攻对4%CDR,完全也可以认为是一个更小的技攻和CDR对偶关系拼凑而成的。这个兑换比必然是大于2的。实际上这个t就是兑换比k在不断往小进行缩放下的极限值。对此我们也可以把之前秘宝帖子里的几个CDR关系,右边增加一列,观察。作为一个参考组,增加了3个接近0CDR方案的对比。首先第一个结论就是混沌净化在新的兑换比公式视角下,收益是大幅提升了的。而且很显著地比弓箭手武器的兑换关系更加强。这也是我在文章开头提到的,混沌净化其实确实很强这个事没错的原因。从这个视角下才能看的出来,把原有的兑换比公式产生的认知异化去除。至于0CDR组的3个对比关系也可以很明显发现,在原有的兑换比体系下看似为1,原认知是比较差的情况,在新的公式体系下很明显能认知到它的收益的恐怖性,而且不难理解随着这个99.99……%的纯度增加,兑换比会逐渐趋于∞,这才是更接近真实的0CDR收益情况的描述。 什么时候用CDR兑换比比较合适呢 通过上面章节的论述,可以论证一点是,采用ln的公式去描述“兑换比”的概念,会比目前传统意义上的CDR兑换比更加具有普适性,也能说明更多的问题,比如0CDR兑换比下的收益比其实是趋于爆炸的。这一点传统的y/x公式是体现不出来的。原因也有所解释,本质上是分子成长速度慢,而分母成长很快,所以在大额兑换比关系下导致k天然会下滑,而产生失真。理解了原因,自然也不难理解什么时候直接用兑换比更准确。那就是在比较小额的CDR技攻兑换关系上,误差会小很多,通过二项展开,误差项会在小额的环境下可以忽略不计。比如认知2%和4%的CDR认为比例是2,其实他们的兑换关系缩小到极限也只有2.06,可以认为比较准确。 结论 CDR的兑换比本身的应用是有局限性的,必须在比较小额的CDR和技攻兑换关系下才能有较低的偏差。取而代之地,更好的判断CDR收益关系其实是按照下面的算法进行合适。 当然,一直在用的CD直接除以技攻确实便于口算,有利于传播。更精确的公式相对来说理解更需门槛。只能说各有好坏。不过需要注意了解的就是,在平时惯习于这种简单的计算方式下,不要忘记它的前提条件是小额CDR的对比,不应把这个结论直接套到大额的CDR兑换问题上,从而就会产生低估大额CDR收益的感觉。 公式的推导 首先建立一个x%,认为是取得的额外技攻。它和y%的CDR形成了竞争关系。基本依据是,任何一组x%技攻和y%CDR的竞争,都可以拆分成更小的两组。从微积分思想的角度考虑,他们可以认为是由n对极小量ε%技攻和tε%的CDR构成,n→+∞。那么有: t其实就是一个参量,可以认为这组x%技攻对y%CDR的兑换,是由一组兑换率为t的极小兑换组,叠加一个极大的n次构成的结果。那么t就是这个评价的标准了。所以问题就变成n→+∞下,t和x,y的关系。对上述式子变换可以得到 这个式子的极限用一次洛必达法则就可以得到是 所以,就得到了t和所验证的x,y之间的转换公式,这个t的本质就是x,y的兑换关系中,进行无限次分割成小CD,最后得到的兑换比的极限。 (来源:colg) |

[编辑:月光下完美]
本资讯及文章仅代表发表厂商及作者观点,不代表叶子猪本身观点!


















